hhiusa
Senior member
- Messages
- 2,687
- Likes
- 140
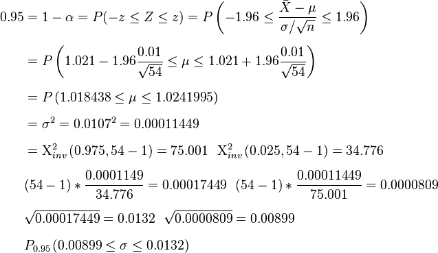
I have taken a sample population of a population with unknown size. The sample size is 54 trades. The sample mean is 2.1% (1.021) return per trade. The sample standard deviation is 0.01. 100% of the 54 trades were profitable i.e., X>1.00. I wish to know with a certain confidence, how close the sample mean and standard deviation are to the population mean and standard deviation. I would also like to know what is the probability of the 55th trade and subsequent trades being >1.00.
Z-score = 0.021/0.01 = 2.1
Z from the cumulative normal distribution function
The extrema should then be the greatest standard deviation with the lowest mean and the lowest standard deviation with the highest mean.
Does this mean that I am 95% confident that 91.8% of future trades will be profitable or that the 55th trade will be profitable. Does this also mean that at that exact point in time the worst case scenario is 91.8%.

Z-score = 0.021/0.01 = 2.1
Z from the cumulative normal distribution function

The extrema should then be the greatest standard deviation with the lowest mean and the lowest standard deviation with the highest mean.

Does this mean that I am 95% confident that 91.8% of future trades will be profitable or that the 55th trade will be profitable. Does this also mean that at that exact point in time the worst case scenario is 91.8%.