Volatility/Standard Deviation

Giri89

Newbie
Messages
9
Likes
0
Hi Guys,

Could anyone tell me how I would work out the % chance of a stock being above/below a price by DEC expiration given some number for volatility?

More specifically, a stock is currently trading at 84.80 and its 90Call option has an IV of 44.50. So if anyone could help me calculate what I stated above in this situation, I would greatly appreciate it.

Thanks for your help.
 
Standard Deviation and Stock Direction

The historical volatility measures the noise, or standard deviation for the stock. IV is not standard deviation. IV corrects the theoretical pricing of an option to the market price for the option.

Using the asserted IV 44.50, the premium should be around 2.25$?
Vega is about .009
The ITM call probability is 30%
The ITM put probability is 70%

Options exploit the direction of the stock market. And unless they're high dollar naked shorts (supposedly illegal), options do not have any affect on the value of their underlying stock. A bet on an equity is typically a bet the stock value will increase, as is the case with a call option bet.

The DOW is pricing inversely to the dollar index. Most DOW stocks for the time being are essentially shorting the dollar. If the dollar goes up, the DOW goes down. When the dollar goes down the DOW goes up.

You have to look at both the prospects of the issuer of the underlying (news) as well as the exchange rates. Anyone who can predict the value of a particular stock has either researched the company, has inside information and is sitting on a beach somewhere!🙂

There is some predictability of the direction a stock will go by looking at the intersections of a 200 day moving average and a 50 day moving average.

If you want to post your symbol I will take a look at it. I used some free software to get those numbers shown above from this web site.
 
Hi Guys,

Could anyone tell me how I would work out the % chance of a stock being above/below a price by DEC expiration given some number for volatility?

More specifically, a stock is currently trading at 84.80 and its 90Call option has an IV of 44.50. So if anyone could help me calculate what I stated above in this situation, I would greatly appreciate it.

Thanks for your help.
Here you go:
7bf0a2cbbe1fb51ef31505f43671687f.png

393718d6dd012428ef23d72114ba5ca3.png


N(d2) is the risk-neutral probability that you're looking for, where N is the cdf for a normal distribution (NORMSDIST function in Excel).
 
Last edited:
Hey guys,

Thanks for the responses. I'm still having some trouble understating how to use the formula you provided Martinghoul. I did as follows:

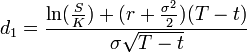
d1= [ln(84.80/90) + (r + 0.445^2/2)(28) ] / (0.445 * 28^0.5)

for r I used 0.03/100 - is that an appropriate number to use? I just got it as the one month treasury bill rate.

So i got d1= 1.15565

Therefore d2 = - 1.199

If this is correct, could you explain what I must now do? Also could you please explain what the result will mean?

Sorry, I'm not very good with this statistics kinda stuff. I really appreciate you helping me out.

Giri
 
Hey guys,

Thanks for the responses. I'm still having some trouble understating how to use the formula you provided Martinghoul. I did as follows:

d1= [ln(84.80/90) + (r + 0.445^2/2)(28) ] / (0.445 * 28^0.5)

for r I used 0.03/100 - is that an appropriate number to use? I just got it as the one month treasury bill rate.

So i got d1= 1.15565

Therefore d2 = - 1.199

If this is correct, could you explain what I must now do? Also could you please explain what the result will mean?

Sorry, I'm not very good with this statistics kinda stuff. I really appreciate you helping me out.

Giri
Yep, but don't forget to compute the N(d2) (use Excel's NORMSDIST). The result that it will give you will be the risk-neutral probability that the option will expire ITM, which is the best you can get out of any option pricing model.
 
... options do not have any affect on the value of their underlying stock.

This is flat out incorrect. To the extent that the writers of the options hedge their positions in the underlying (delta or otherwise) they most certainly do impact the stock price.
 
Hi guys,

I just thought of something else that I would like to find out. If I have an expectation that a stock will move to a particular price within a designated time, is there a way of calculating a volatility that is consistent with that prediction?

Using the example stated above - if I feel that the stock is going to rise from 84.80 to 90 by Dec Expiration (20 trading days?), is there a volatility number that would be consistent with that?

Thank you for your help.
 
Hi guys,

I just thought of something else that I would like to find out. If I have an expectation that a stock will move to a particular price within a designated time, is there a way of calculating a volatility that is consistent with that prediction?

Using the example stated above - if I feel that the stock is going to rise from 84.80 to 90 by Dec Expiration (20 trading days?), is there a volatility number that would be consistent with that?

Thank you for your help.
Can I answer your question with one of mine?

How much do you expect the stock to move, on average, on any particular given day before expiry, given you start at 84.40 and end up at 90?
 
Hi MartinGhoul,

I'm thinking about that and it's hard to say. The reasoning behind my forecast is purely technical but going by averages, I would say around $1 daily.The stock is currently trading in a channel so my estimate of $1 arose by dividing the difference between the high and low prices of one particular portion of the channel by the days taken for the stock to move from the low to the high.

However looking at the chart, daily price fluctuations tend to be quite erratic so I feel that the answer above may not be the appropriate response you were looking for.

If it would make matters simpler and you could afford the time, please take a look at the stock I am talking about. It is symbol: FCX. I have uploaded a screenshot of FCX's chart to hopefully make things a little more convenient for you. I understand that if I was to purely follow the channel trend then by DEC expiration the stock is more likely to be at around $92 than $90, but if that is not terribly important in the grand scheme of things, lets just overlook it.

Once again, I am very appreciative for your help in this. Trying to come to a valid conclusion on this matter is making my head hurt... =D.

Giri
 

Attachments

  • FCX.JPG
    FCX.JPG
    72.4 KB · Views: 315
This is flat out incorrect. To the extent that the writers of the options hedge their positions in the underlying (delta or otherwise) they most certainly do impact the stock price.

Thanks for your response.

I read that most options (like around 90%) expire worthless. How can the intent of a write be judged. Is he/she really covering or simply gambling that the contract won't be exorcised to get a little extra pocket change from a flat performing equity?

I fanatasize that sometimes writers will get caught short, or long, and that that creates demand for the other side of the straddle. If that is in fact what happens in some cases it would sure be cool to figure out a way to decipher it.

I know arb traders with deep pockets work conversion and reversals and will sometimes write over or under priced contracts to complete a box. But I am a rookie and very retail and not a market maker and know nothing about arbitrage strategies.

I heard that one way to avoid being victimized by an arb trader is to trade strikes that are active, eg have significant vol and open interest. Is that correct?

Again thanks.
 
I read that most options (like around 90%) expire worthless.

Make sure you're reading the stats correctly. I don't have them in front of me, but I believe the statistic most folks are stating (knowingling or not) when they say this sort of thing is that a high % of options contracts are not held to expiration - meaning they get offset ahead of time. The actual % which expire worthless is much lower.

How can the intent of a write be judged. Is he/she really covering or simply gambling that the contract won't be exorcised to get a little extra pocket change from a flat performing equity?

Intent doesn't matter. Action does. If a fund buys 10,000 Dec 100 puts from a market maker, do you think that MM is going to just sit exposed to that downside? Most definitely not. They will look to offset it somehow, which will almost certainly end up in the underlying being sold somewhere along the way.

I heard that one way to avoid being victimized by an arb trader is to trade strikes that are active, eg have significant vol and open interest. Is that correct?

It's a good rule of thumb to stike to the higly liquid strikes for one simple reason having nothing to do with arbs: the spreads are much tighter than the illiquid strikes.
 
Hi MartinGhoul,

I'm thinking about that and it's hard to say. The reasoning behind my forecast is purely technical but going by averages, I would say around $1 daily.The stock is currently trading in a channel so my estimate of $1 arose by dividing the difference between the high and low prices of one particular portion of the channel by the days taken for the stock to move from the low to the high.

However looking at the chart, daily price fluctuations tend to be quite erratic so I feel that the answer above may not be the appropriate response you were looking for.

If it would make matters simpler and you could afford the time, please take a look at the stock I am talking about. It is symbol: FCX. I have uploaded a screenshot of FCX's chart to hopefully make things a little more convenient for you. I understand that if I was to purely follow the channel trend then by DEC expiration the stock is more likely to be at around $92 than $90, but if that is not terribly important in the grand scheme of things, lets just overlook it.

Once again, I am very appreciative for your help in this. Trying to come to a valid conclusion on this matter is making my head hurt... =D.

Giri
Well, I'll give you the short answer... My very rough estimate would be arnd 18.5%. I can also give you the long answer, i.e. how I came to this, somewhat random, conclusion.
 
Well, I'll give you the short answer... My very rough estimate would be arnd 18.5%. I can also give you the long answer, i.e. how I came to this, somewhat random, conclusion.

Hi Martinghoul,

I would very much appreciate if you could me give me the long answer Haha =D.

Also do you think it would be worthwhile learning the mathematics behind option pricing? I was looking through Hull's Derivatives book (which we used at university) and noticed there was some quite complex (for me anyway) maths throught out the text. I'm interested in taking a course that would give me a more sound mathematical knowledge and so am interested in your thoughts on the subject.

Anyways, thanks for all your help.

Giri
 
Giri, you don't need courses and sophisticated maths to 'get' the intuition behind options... No PDEs are necessary.

You just need to understand the basic premise behind the normal distribution and the idea of replication. You can get both of these from Hull or another basic option book.

Now, in your specific example the idea is simple. I could either hold the asset outright or I could hold a call option (let's ignore the whole risk-free bit for the moment). If I assume a relatively efficient mkt, I should be indifferent between which of the two to hold. The premium I pay for the call option should be determined by how much I expect the underlying to move on any given day before expiry. If you tell me that you expect it to move arnd 1.2% a day, I just annualize that to get a VERY rough idea of what vol to use for the option. This 1.2% is known as a 'daily breakeven', although I am not entirely sure people use these in equities.

Obviously, this calculation is EXTREMELY approximate and I am not even sure I did the whole thing correctly, but you get the idea.
 
Hey guys,

Thanks for the responses. I'm still having some trouble understating how to use the formula you provided Martinghoul. I did as follows:

d1= [ln(84.80/90) + (r + 0.445^2/2)(28) ] / (0.445 * 28^0.5)

for r I used 0.03/100 - is that an appropriate number to use? I just got it as the one month treasury bill rate.

So i got d1= 1.15565

Therefore d2 = - 1.199

If this is correct, could you explain what I must now do? Also could you please explain what the result will mean?

Sorry, I'm not very good with this statistics kinda stuff. I really appreciate you helping me out.

Giri

Quick and dumb question: in the denominator, why'd you use (0.445 * 28^0.5) rather than (.445 * sqrt(28))? Actually, what I'm really asking is, where'd that 0.5 come from?
 
Back
Top